歡迎光臨 [ 無錫市貝潤風(fēng)機制造有限公司 ] 官方網(wǎng)站!

4-79型離心風(fēng)機

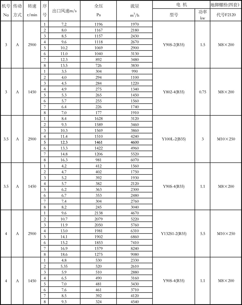
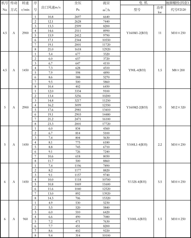
4-79性能與選用件表